이 글은 내가 응용통계학과 학부생으로써 배운 내용을 정리 및 복습하기 위해 기록한다.
수리통계학에서 빼놓을 수 없는 내용이다.
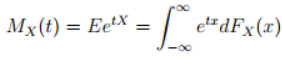
MGF
MGF : 적률생성함수(Moment Generating Function)를 의미하며, 사실 정확한 의미는 아직 잘 모르겠다. 하지만 뒤에 각종 분포의 평균 및 분산을 구한다던지, 결합밀도함수를 구한다던지 등등 매우 다양한 분포 연산에 사용된다.
적률(Moment)의 정의는 변수 X의 k제곱에 대한 기댓값이며, 이를 X에 대한 k의 적률이라고 부른다.
적률생성함수(MGF)는 말 그대로 이러한 적률을 만드는 함수인 것이다.

연속형 확률변수와 이산형 확률변수에 따라 나타낼 수 있는 형태는 이러하다.

매클로린 전개를 통한 Mgf의 증명은 추후 업로드하도록 하겠다.
'Statistics > 수리통계학' 카테고리의 다른 글
| 푸아송 분포(Poisson's distribution) (0) | 2021.07.17 |
|---|---|
| [수리통계학] pmf, pdf 그리고 cdf (1) | 2021.06.22 |