1. 푸아송 분포란?
푸아송 분포는 주어진 시간 내에 어떤 사건이 일어나는 횟수를 나타내는 이산확률분포이다.

위 식에서 m은 사건의 평균발생횟수(np)를 뜻한다. 기본적으로 푸아송 분포는 이상분포를 따르며, 모수가 (n,p)인 이항분포에서 n이 크고 p가 작아 np가 적당한 크기일 경우 푸아송 분포를 이용하여 근삿값을 구할 수 있다.
푸아송 분포는 주어진 시간뿐만 아니라, 주어진 길이, 넓이, 부피 안에 어떤 사건의 횟수를 나타내는 등 다방면으로 사용된다.
또한 감마분포, 베타분포 등 다른 확률분포의 증명에도 사용되기도 한다.
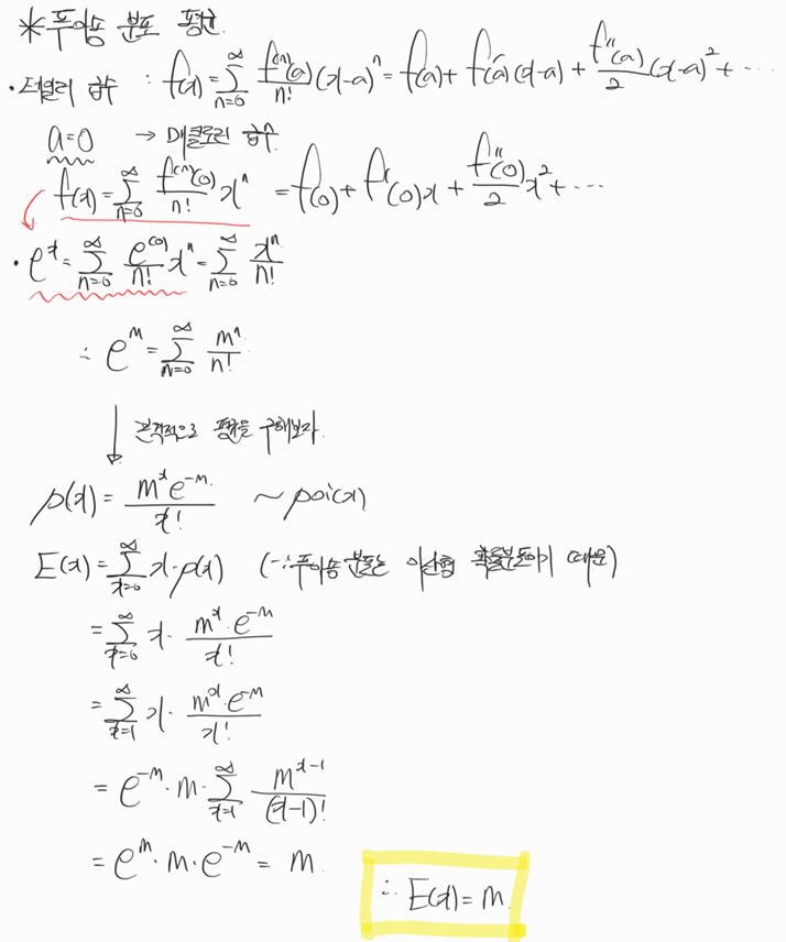
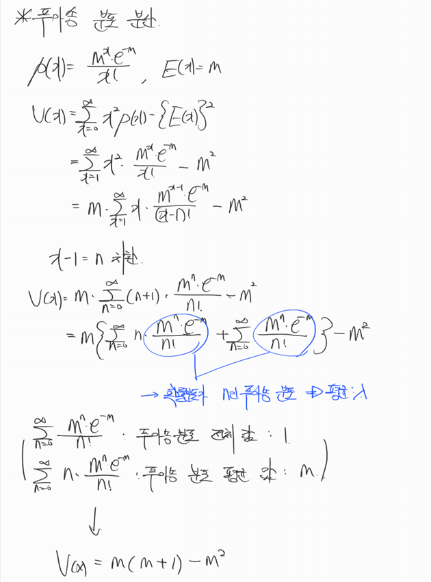
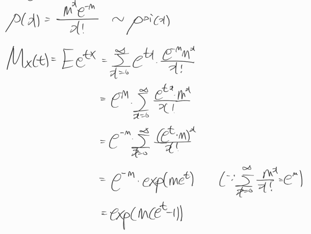
2. 푸아송 분포의 평균, 분산, 적률생성함수
푸아송 분포의 평균과 분산은 m이다. 테일러 급수를 활용하여 증명해보겠다.



푸아송 분포의 mgf 또한 구할 수 있다.

3. 푸아송 분포의 그래프
다음은 위키피디아에서 가져온 푸아송 분포의 그래프이다.

여기서 λ는 위 증명에서의 m과 같다.
보다시피 λ에서 확률값이 정점을 찍고, k가 커질수록 0에 수렴함을 알 수 있다.
'Statistics > 수리통계학' 카테고리의 다른 글
| [수리통계학] mgf(적률생성함수) (7) | 2021.06.22 |
|---|---|
| [수리통계학] pmf, pdf 그리고 cdf (1) | 2021.06.22 |